 |
Matronics Email Lists Web Forum Interface to the Matronics Email Lists
|
| View previous topic :: View next topic |
| Author |
Message |
teamgrumman(at)yahoo.com Guest
|
Posted: Sun Dec 04, 2011 10:26 pm Post subject: Airfoil |
|
|
Look at the D.O.E. 256 Junkers E airfoil. It looks a lot like the Grumman airfoil.
Gary
Sent from my iPad
| | - The Matronics TeamGrumman-List Email Forum - | | | Use the List Feature Navigator to browse the many List utilities available such as the Email Subscriptions page, Archive Search & Download, 7-Day Browse, Chat, FAQ, Photoshare, and much more:
http://www.matronics.com/Navigator?TeamGrumman-List |
|
|
|
| Back to top |
|
 |
teamgrumman(at)yahoo.com Guest
|
Posted: Mon Dec 05, 2011 10:13 pm Post subject: Airfoil |
|
|
I was able to plot out the Grumman airfoil from the trace that Bob Hodo sent. The really fucked up a good design.
NACA 64-415
6 series airfoil
4 = minimum pressure at 40% chord
4 = .4 coefficient of lift
15 = maximum thickness at 15% of chord length.
What I measured.
- not even close to a 6 series
- minimum pressure at 34.15% chord
- lift coefficient TBD
- maximum thickness at 14% of chord.
The original airfoil leading edge was pooched out and rounded and brought all the way down to the bottom of the wing. The larger flap on the Tiger/Cheetah effectively makes the airfoil no longer anywhere near a 6 series (not to mention the round nose). The flap makes the upper surface reflexed when even with the bottom angle.
Still looking for an airfoil that is even close.
Gary
Sent from my iPad
On Dec 4, 2011, at 10:22 PM, Gary L Vogt <teamgrumman(at)yahoo.com> wrote:
| Quote: |
Look at the D.O.E. 256 Junkers E airfoil. It looks a lot like the Grumman airfoil.
Gary
Sent from my iPad
|
| | - The Matronics TeamGrumman-List Email Forum - | | | Use the List Feature Navigator to browse the many List utilities available such as the Email Subscriptions page, Archive Search & Download, 7-Day Browse, Chat, FAQ, Photoshare, and much more:
http://www.matronics.com/Navigator?TeamGrumman-List |
|
|
|
| Back to top |
|
 |
bob.hodo(at)yahoo.com Guest
|
Posted: Tue Dec 06, 2011 6:58 am Post subject: Airfoil |
|
|
I don't have Gary's training and expertise. I do have an extensive sailing background, and understand some things about airflow that are difficult for me to explain.
I have a natural curiosity for it, and I got to tell you, it was a treat to have Gary as my personal tour guide in the Museum at Dayton. (My apologies once again to Clytie)
Couple that with having Bob Steward for friend and mentor and historian on all things grumman, working on my plane and many others at my home field, and you can imagine how the possibilities to do some good stuff seem endless
| | - The Matronics TeamGrumman-List Email Forum - | | | Use the List Feature Navigator to browse the many List utilities available such as the Email Subscriptions page, Archive Search & Download, 7-Day Browse, Chat, FAQ, Photoshare, and much more:
http://www.matronics.com/Navigator?TeamGrumman-List |
|
|
|
| Back to top |
|
 |
andrew(at)entro.com Guest
|
Posted: Tue Dec 06, 2011 8:41 am Post subject: Airfoil |
|
|
I've been watching the Airfoil chatter and I am intrigued and excited by the possibility of better performance out of my AA5.
So once all the data is collected and the improvements are identified. If an AA5er wants to make these improvements what would they have to do. Would you have to decertify your AC to the experimental category? Could you get an STC for such an extensive mod? Would it be really cost prohibitive? Would there be any reduction in stability?
What I was hoping for was to find that the wing was rigged with the wrong angle of incidence or some other rigging issue and a relatively quick and cost effective fix that could be STC'd. Is that wishful thinking or have you already explored that thought and moved on?
Andrew
M: 416-706-4490
On Dec 6, 2011, at 9:55 AM, Bob Hodo wrote:
[quote]I don't have Gary's training and expertise. I do have an extensive sailing background, and understand some things about airflow that are difficult for me to explain.
I have a natural curiosity for it, and I got to tell you, it was a treat to have Gary as my personal tour guide in the Museum at Dayton. (My apologies once again to Clytie)
Couple that with having Bob Steward for friend and mentor and historian on all things grumman, working on my plane and many others at my home field, and you can imagine how the possibilities to do some good stuff seem endless.
I am convinced that our wing was a known compromise to address the AA1 slow flight characteristics, with noted speed loss.
I am also convinced that the slow flight problems have since been dealt with in a better way on other planes like the cirrus, but without the drag penalty. Win-win for them.
......................
Wing observations:
1) It has a very nice curve on the top side but is much too blunt in the leading edge. (PETA would hate what we do to bugs.)
2) The main wing is a partner with the flaps or the ailerons in how air across it creates lift and drag. But the wing is the part that is screwed up, especially at the leading edge and on the bottom.
3) The Bottom. The bottom is not flat. It is flat with a 4.15 degree bend. (Really bad aerodynamic drag) To make it worse, the final portion (flap or aileron) must be retracted at top cruise speeds to dump the extra lift created by the stol top side. This means there are three surfaces on the bottom of the wing all flying at different angles of attack. Almost all of that inefficiency would go away with a change in the contour of the rib on its bottom side, and without affecting slow flight characteristics, except maybe to improve them.
*Note to Ned... if you get your rails to 2.5 degrees down all three of these surfaces will be in the wind shadow of the leading edge, instead of just the two surfaces aft of the spar.
4) The spar. It is a very strong structure, but it is thick. This means we are stuck with a thick cross section. I don't think there is any getting around that in the first two four foot sections closest the fuselage. But I do think the outboard section could be redesigned around a 6" OD pipe instead of a 6.6" one.
WHAT I WOULD LIKE TO SEE:
Change the ribs on the two inboard sections to one of the naca profiles that makes Gary smile, curvy on both sides, and maybe reduce the angle of attack about 1 degree on those sections.
Change the ribs on the outboard section to a profile that is about half as drooped as what we now have, with a curved bottom, and at least 2 inches longer out in front of a slightly smaller spar section. Remove 1 more degree angle of attack on the outboard section.
Get Gary to make an appropriate wing tip with upward flare rather than down, and slightly wider at the back than the front. (Go look at a Cirrus.)
THE GAIN I EXPECT:
A stall at least as soft as what we have now on the AA5-x, but with a wider window of aileron control well into the stall.
A minimum of 5 knots in normal cruise settings, and the racers seeing 10 or more knots at high power settings (above their already impressive speeds from drag clean-ups).
The stopper is not the work, or the expense of materials to make this wing vs the one they already make. IIRC Kevin Lancaster said TIGER AC had been outsourcing the Tiger wing at a cost to them of about $22,000 each. I think Trueflight intends to build their own.
We would not be changing the strength of structure, nor the assembly methods, just the flight characteristics, which ought to be pretty simple to demonstrate as being the equal or the superior of what we now have in any parameter that matters. The truth is, it is the wing we have been using for 35 years that is "experimental."
There is no doubt it can be done better. It amazes me how well this plane flies as it is. It is sitting there begging for some very obvious improvement.
Bob H
| Quote: |
href="http://www.aeroelectric.com/">www.aeroelectric.com
href="http://www.buildersbooks.com/">www.buildersbooks.com
href="http://www.homebuilthelp.com/">www.homebuilthelp.com
href="http://www.matronics.com/contribution">http://www.matronics.com/contribution
href="http://www.matronics.com/Navigator?TeamGrumman-List">http://www.matronics.com/Navigator?TeamGrumman-List
href="http://forums.matronics.com/">http://forums.matronics.com
href="http://www.matronics.com/contribution">http://www.matronics.com/contribution
| NOTICE OF CONFIDENTIALITY. This communication, including any information transmitted with it, is intended only for the use of the addressee(s) and is confidential. If you are not an intended recipient or responsible for delivering the message to an intended recipient, any review, disclosure, conversion to hard copy, dissemination, reproduction or other use of any part of this communication is strictly prohibited, as is the taking or omitting of any action in reliance upon this communication. If you received this communication in error or without authorization please notify us immediately by return e-mail or otherwise and permanently delete the entire communication from any computer, disk drive, or other storage medium. [quote][b]
| | - The Matronics TeamGrumman-List Email Forum - | | | Use the List Feature Navigator to browse the many List utilities available such as the Email Subscriptions page, Archive Search & Download, 7-Day Browse, Chat, FAQ, Photoshare, and much more:
http://www.matronics.com/Navigator?TeamGrumman-List |
|
|
|
| Back to top |
|
 |
bob.hodo(at)yahoo.com Guest
|
Posted: Tue Dec 06, 2011 10:44 am Post subject: Airfoil |
|
|
| Quote: | >So once all the data is collected and the improvements are identified. If an AA5er wants to make these improvements what would they have to do?
|
Would you have to decertify your AC to the experimental category? <<
Not if someone gets an STC approved.
>>Could you get an STC for such an extensive mod? <<
Certainly. The changes I am talking about in a wing re-design have far less variables than converting to conventional gear or putting a 260hp 6 cylinder under the cowl. What I am suggesting is returning to some known naca foil with a modified outboard section like Cirrus (and RUTAN) have already proven. Nothing much changes from the spar back, it is the shape of the foil forward of the spar that needs a return to better, proven shapes.
>>Would it be really cost prohibitive?<<
Probably to more than 90% of existing owners. But if I were Kevin Lancaster I would be very interested in building the best wing I could as long as I was building them anyway. What did you want to bring up cost for?!?!?!?
| Quote: | >What I was hoping for was to find that the wing was rigged with the wrong angle of incidence or some other rigging issue and a relatively quick and cost effective fix that could be STC'd.<<
|
I agree that flying rails down goes a long way to removing lift from the fuselage. For one thing, the large flat section under our feet is parallel to the canopy rails. That means everything below the bottom of the sides are either hanging out in the stream creating drag (landing gear) or are actually trying to pull the fuselage towards the ground. The 'reverse lift' has to be overcome by that big curvy camber on top of the wing. And it does. But one surface pulling against the other is as bad as it gets.
When you suggest tipping the entire wing a little more nose down, the obstacles to that are pretty small as long as the change is pretty small. But by the time you get to a full degree nose down, you will need to build a new wing root to match it. Not insurmountable, just problematic. And you still have a great 130 knot wing that fusses a lot above 140.
This will not actually change the side profile of the wing through the air, of course. It will merely lower the tail on a 1:1 proportion, at least at cruise speed.
There are at least two concerns about this.
1) It will also lower the tail during take-off and landing, which WILL result in a greater chance of tail strikes when flaps are full up. (I am NOT suggesting the STC include a POH requirement to use partial flaps on take-off.) <--- Funny right there...
2) It will change the airspeed at which the horizontal stabilizer is in the wake shadow of the wing. It is clear that at cruise speed, wind across the top of the main wing goes under the HS. But I am told that in a high nose up stall those molecules go above the HS. If that last statement needs correcting then by all means, I don't know and have only asked one expert.
Bob H
[quote][b]
| | - The Matronics TeamGrumman-List Email Forum - | | | Use the List Feature Navigator to browse the many List utilities available such as the Email Subscriptions page, Archive Search & Download, 7-Day Browse, Chat, FAQ, Photoshare, and much more:
http://www.matronics.com/Navigator?TeamGrumman-List |
|
|
|
| Back to top |
|
 |
teamgrumman(at)yahoo.com Guest
|
Posted: Tue Dec 06, 2011 10:54 am Post subject: Airfoil |
|
|
[img]webkit-fake-url://2C7F97A3-C716-4E0D-A29E-F14771C22BDB/application.pdf[/img]
From: Bob Hodo <bob.hodo(at)yahoo.com>
To: teamgrumman-list(at)matronics.com
Sent: Tuesday, December 6, 2011 6:55 AM
Subject: Re: Airfoil
I don't have Gary's training and expertise. I do have an extensive sailing background, and understand some things about airflow that are difficult for me to explain.
I have a natural curiosity for it, and I got to tell you, it was a treat to have Gary as my personal tour guide in the Museum at Dayton. (My apologies once again to Clytie)
Couple that with having Bob Steward for friend and mentor and historian on all things grumman, working on my plane and many others at my home field, and you can imagine how the possibilities to do some good stuff seem endless.
I am convinced that our wing was a known compromise to address the AA1 slow flight characteristics, with noted speed loss.
I am also convinced that the slow flight problems have since been dealt with in a better way on other planes like the cirrus, but without the drag penalty. Win-win for them.
.....................
Wing observations:
1) It has a very nice curve on the top side but is much too blunt in the leading edge. (PETA would hate what we do to bugs.)
2) The main wing is a partner with the flaps or the ailerons in how air across it creates lift and drag. But the wing is the part that is screwed up, especially at the leading edge and on the bottom.
3) The Bottom. The bottom is not flat. It is flat with a 4.15 degree bend. (Really bad aerodynamic drag) To make it worse, the final portion (flap or aileron) must be retracted at top cruise speeds to dump the extra lift created by the stol top side. This means there are three surfaces on the bottom of the wing all flying at different angles of attack. Almost all of that inefficiency would go away with a change in the contour of the rib on its bottom side, and without affecting slow flight characteristics, except maybe to improve them.
*Note to Ned... if you get your rails to 2.5 degrees down all three of these surfaces will be in the wind shadow of the leading edge, instead of just the two surfaces aft of the spar.
4) The spar. It is a very strong structure, but it is thick. This means we are stuck with a thick cross section. I don't think there is any getting around that in the first two four foot sections closest the fuselage. But I do think the outboard section could be redesigned around a 6" OD pipe instead of a 6.6" one.
WHAT I WOULD LIKE TO SEE:
Change the ribs on the two inboard sections to one of the naca profiles that makes Gary smile, curvy on both sides, and maybe reduce the angle of attack about 1 degree on those sections.
Change the ribs on the outboard section to a profile that is about half as drooped as what we now have, with a curved bottom, and at least 2 inches longer out in front of a slightly smaller spar section. Remove 1 more degree angle of attack on the outboard section.
Get Gary to make an appropriate wing tip with upward flare rather than down, and slightly wider at the back than the front. (Go look at a Cirrus.)
THE GAIN I EXPECT:
A stall at least as soft as what we have now on the AA5-x, but with a wider window of aileron control well into the stall.
A minimum of 5 knots in normal cruise settings, and the racers seeing 10 or more knots at high power settings (above their already impressive speeds from drag clean-ups).
The stopper is not the work, or the expense of materials to make this wing vs the one they already make. IIRC Kevin Lancaster said TIGER AC had been outsourcing the Tiger wing at a cost to them of about $22,000 each. I think Trueflight intends to build their own.
We would not be changing the strength of structure, nor the assembly methods, just the flight characteristics, which ought to be pretty simple to demonstrate as being the equal or the superior of what we now have in any parameter that matters. The truth is, it is the wing we have been using for 35 years that is "experimental."
There is no doubt it can be done better. It amazes me how well this plane flies as it is. It is sitting there begging for some very obvious improvement.
Bob H
[quote][b]
| | - The Matronics TeamGrumman-List Email Forum - | | | Use the List Feature Navigator to browse the many List utilities available such as the Email Subscriptions page, Archive Search & Download, 7-Day Browse, Chat, FAQ, Photoshare, and much more:
http://www.matronics.com/Navigator?TeamGrumman-List |
|
|
|
| Back to top |
|
 |
teamgrumman(at)yahoo.com Guest
|
Posted: Fri Dec 09, 2011 11:35 am Post subject: Airfoil |
|
|
Andrew,
Realistically, it would be cost prohibitive to change your wings. Unless a miracle occurs and I become independently wealthy, I'm not going to be able to afford to change the wings. I would love to. I would also love to build a full scale composite de Havilland Mosquito. That won't happen either.
Here are the steps:
• keep in mind, this is if I do it. If Kevin Lancaster did it as a variant to his type certificate, it would still be expensive, but it wouldn't take as long.
1) donor airplane for about 5-10 years.
2) Make up some wings from either aluminum or composite.
• the easiest approach would be to get some original AA1 wings, add the appropriate outboard section/wingtip, flaps ailerons.
3) Find a hungry DER.
• put the plane into Experimental category
4) Come up with really good logic as to why the FAA would think this plane needs a new wing.
5) Create a PSCP to start the STC process
6) Get about 50 flight hours to demonstrate to myself that it's worth the aggravation to continue. (I know it will be only because I want to do it)
7) Write up a report documenting the whole set of flight tests that will need to be demonstrated to the FAA
Submit the PSCP and start all over again with an FAA guy supervising the tests.
There is a lot of chatter about the wing being at the wrong incident. It's all nonsense. You want the wing to be at Max L/D. That has yet to be found with this airfoil, BUT, I think it's around 1-2 degrees AOA. My guess is 1.5 degrees. That puts the plane nose down at 2 degrees. Oil testing shows attached flow pretty much on the entire plane. I need to do some tuft testing in some areas that I question.
The horizontal is also in the right place at 0 degrees. At speed, the horizontal is near 2 degrees down. If what I've found is true, that means the horizontal is near zero lift at speed. You are controlling the entire plane by the horizontal deflection.
I have a quick fix for some of the nose wheel fairing/tire drag. I just need some more money.
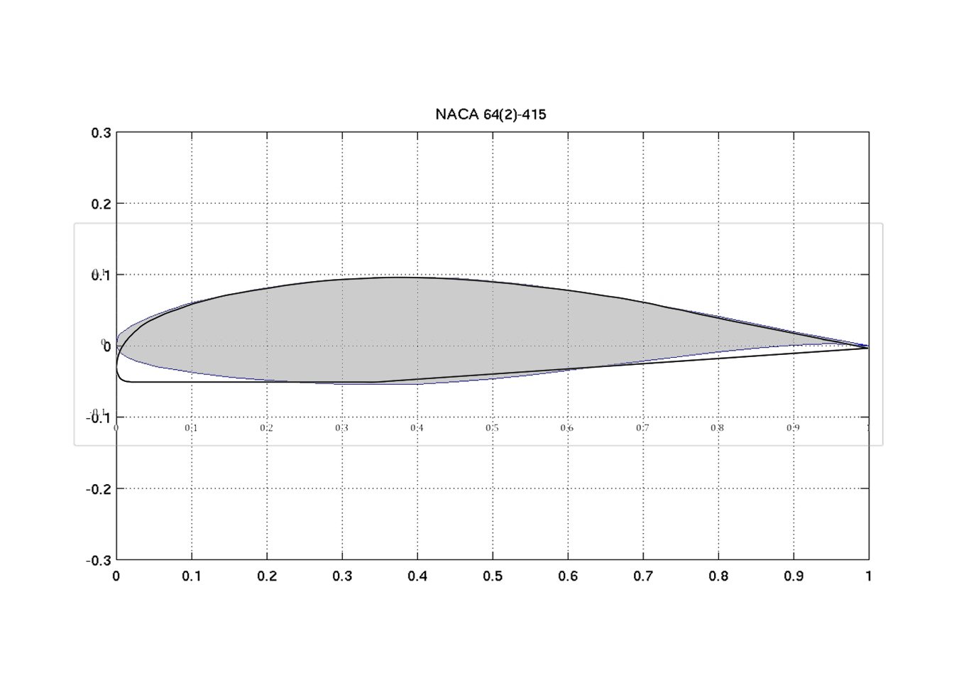
I've attached a pic of the Grumman airfoil overlaid on the original designed wing shape. In the previous pics, I extrapolated the angle on the upper and lower surfaces until they intersected. Yesterday, I measured the chord of the wingtip. The flap is actually longer than the optimum shape of a 64-415 wing. But, as you can see, with the flap up a few degrees until the bottom is flat, it's a pretty good fit.
Gary
From: Andrew Kuzyk <andrew(at)entro.com>
To: teamgrumman-list(at)matronics.com
Sent: Tuesday, December 6, 2011 8:39 AM
Subject: Re: Airfoil
I've been watching the Airfoil chatter and I am intrigued and excited by the possibility of better performance out of my AA5.
So once all the data is collected and the improvements are identified. If an AA5er wants to make these improvements what would they have to do. Would you have to decertify your AC to the experimental category? Could you get an STC for such an extensive mod? Would it be really cost prohibitive? Would there be any reduction in stability?
What I was hoping for was to find that the wing was rigged with the wrong angle of incidence or some other rigging issue and a relatively quick and cost effective fix that could be STC'd. Is that wishful thinking or have you already explored that thought and moved on?
Andrew
M: 416-706-4490
On Dec 6, 2011, at 9:55 AM, Bob Hodo wrote:
| Quote: | I don't have Gary's training and expertise. I do have an extensive sailing background, and understand some things about airflow that are difficult for me to explain.
I have a natural curiosity for it, and I got to tell you, it was a treat to have Gary as my personal tour guide in the Museum at Dayton. (My apologies once again to Clytie)
Couple that with having Bob Steward for friend and mentor and historian on all things grumman, working on my plane and many others at my home field, and you can imagine how the possibilities to do some good stuff seem endless.
I am convinced that our wing was a known compromise to address the AA1 slow flight characteristics, with noted speed loss.
I am also convinced that the slow flight problems have since been dealt with in a better way on other planes like the cirrus, but without the drag penalty. Win-win for them.
......................
Wing observations:
1) It has a very nice curve on the top side but is much too blunt in the leading edge. (PETA would hate what we do to bugs.)
2) The main wing is a partner with the flaps or the ailerons in how air across it creates lift and drag. But the wing is the part that is screwed up, especially at the leading edge and on the bottom.
3) The Bottom. The bottom is not flat. It is flat with a 4.15 degree bend. (Really bad aerodynamic drag) To make it worse, the final portion (flap or aileron) must be retracted at top cruise speeds to dump the extra lift created by the stol top side. This means there are three surfaces on the bottom of the wing all flying at different angles of attack. Almost all of that inefficiency would go away with a change in the contour of the rib on its bottom side, and without affecting slow flight characteristics, except maybe to improve them.
*Note to Ned... if you get your rails to 2.5 degrees down all three of these surfaces will be in the wind shadow of the leading edge, instead of just the two surfaces aft of the spar.
4) The spar. It is a very strong structure, but it is thick. This means we are stuck with a thick cross section. I don't think there is any getting around that in the first two four foot sections closest the fuselage. But I do think the outboard section could be redesigned around a 6" OD pipe instead of a 6.6" one.
WHAT I WOULD LIKE TO SEE:
Change the ribs on the two inboard sections to one of the naca profiles that makes Gary smile, curvy on both sides, and maybe reduce the angle of attack about 1 degree on those sections.
Change the ribs on the outboard section to a profile that is about half as drooped as what we now have, with a curved bottom, and at least 2 inches longer out in front of a slightly smaller spar section. Remove 1 more degree angle of attack on the outboard section.
Get Gary to make an appropriate wing tip with upward flare rather than down, and slightly wider at the back than the front. (Go look at a Cirrus.)
THE GAIN I EXPECT:
A stall at least as soft as what we have now on the AA5-x, but with a wider window of aileron control well into the stall.
A minimum of 5 knots in normal cruise settings, and the racers seeing 10 or more knots at high power settings (above their already impressive speeds from drag clean-ups).
The stopper is not the work, or the expense of materials to make this wing vs the one they already make. IIRC Kevin Lancaster said TIGER AC had been outsourcing the Tiger wing at a cost to them of about $22,000 each. I think Trueflight intends to build their own.
We would not be changing the strength of structure, nor the assembly methods, just the flight characteristics, which ought to be pretty simple to demonstrate as being the equal or the superior of what we now have in any parameter that matters. The truth is, it is the wing we have been using for 35 years that is "experimental."
There is no doubt it can be done better. It amazes me how well this plane flies as it is. It is sitting there begging for some very obvious improvement.
Bob H
| Quote: |
href="http://www.aeroelectric.com/">www.aeroelectric.com
href="http://www.buildersbooks.com/">www.buildersbooks.com
href="http://www.homebuilthelp.com/">www.homebuilthelp.com
href="http://www.matronics.com/contribution">http://www.matronics.com/contribution
href="http://www.matronics.com/Navigator?TeamGrumman-List">http://www.matronics.com/Navigator?TeamGrumman-List
href="http://forums.matronics.com/">http://forums.matronics.com
href="http://www.matronics.com/contribution">http://www.matronics.com/contribution
| NOTICE OF CONFIDENTIALITY. This communication, including any information transmitted with it, is intended only for the use of the addressee(s) and is confidential. If you are not an intended recipient or responsible for delivering the message to an intended recipient, any review, disclosure, conversion to hard copy, dissemination, reproduction or other use of any part of this communication is strictly prohibited, as is the taking or omitting of any action in reliance upon this communication. If you received this communication in error or without authorization please notify us immediately by return e-mail or otherwise and permanently delete the entire communication from any computer, disk drive, or other storage medium.
| Quote: | wwwet="_blank" href="http://www.homebuilthelp.com">www.homebuilthelp.com</==========
|
|
| | - The Matronics TeamGrumman-List Email Forum - | | | Use the List Feature Navigator to browse the many List utilities available such as the Email Subscriptions page, Archive Search & Download, 7-Day Browse, Chat, FAQ, Photoshare, and much more:
http://www.matronics.com/Navigator?TeamGrumman-List |
|
| Description: |
|
| Filesize: |
247.67 KB |
| Viewed: |
5029 Time(s) |

|
|
|
| Back to top |
|
 |
|
|
You cannot post new topics in this forum You cannot reply to topics in this forum You cannot edit your posts in this forum You cannot delete your posts in this forum You cannot vote in polls in this forum You cannot attach files in this forum You can download files in this forum
|
Powered by phpBB © 2001, 2005 phpBB Group
|